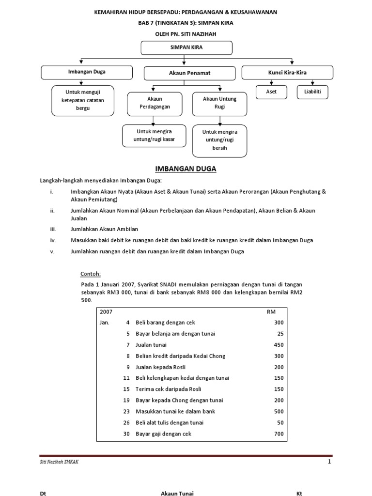
Microsoft Word Simpan Kira Form 3
Simpan Kira Imbangan Duga Ting 3
Simpan Kira Kira T3
Kemahiran Hidup Simpan Kira Youtube
Simpan Kira
Simpan Kira F2
Ppt Pengenalan Kepada Perakaunan Powerpoint Presentation Free Download Id 3905143
Menariknya Perakaunan Jom Belajar Pengenalan Ringkas Istilah Perakaunan
Khb Modul Simpan Kira T3 Docx Document
Buku Teks Matematik Tingkatan 3 Kssm Pages 51 100 Flip Pdf Download Fliphtml5
Nota Perniagaan Tingkatan 4 Bab 4 Yang Sangat Bernilai Bab 4 Simpan Kira Skoloh
Matematik Tingkatan 3 Pages 51 100 Text Version Anyflip
Nota Simpankira
Ppt Bab 4 Simpan Kira Cindy Lew Academia Edu
Smeinfo Simpan Kira Kira Jangkaan Kitaran Perakaunan Anda